Du wirst sehen wie man eine Gleichung loest und wie man Gleichungen umstellt dazu brauchst du aber Vorkenntisse im Rechnen mit VariablenFalls du das Rechnen mit Variablen wiederholen moechtest kannst du das am besten hier machen. Im naechsten Schritt wird die 4 im Nenner entfernt.
Formel Umstellen Bruch - Spaß für meinen eigenen Blog, bei dieser Gelegenheit werde ich Ihnen im Zusammenhang mit erklären Formel Umstellen Bruch. Also, wenn Sie großartige Aufnahmen machen möchten Formel Umstellen Bruch, Klicken Sie einfach auf das Speichersymbol, um das Foto auf Ihrem Computer zu speichern. Sie können heruntergeladen werden. Wenn Sie möchten und möchten, klicken Sie im Beitrag auf "Logo speichern". Der Download erfolgt direkt auf Ihren Heimcomputer.
Formel Umstellen Bruch ist eine wichtige Information, die von Fotos und HD-Bildern begleitet wird, die von allen Websites der Welt stammen. Laden Sie dieses Bild kostenlos in High Definition-Auflösung mit der unten stehenden Option "Download-Schaltfläche" herunter. Wenn Sie nicht die genaue Auflösung finden, nach der Sie suchen, wählen Sie Original oder eine höhere Auflösung. Sie können diese Seite auch einfach speichern, sodass Sie sie jederzeit anzeigen können.
Vielen Dank für Ihren Besuch unserer Website, Artikel oben, veröffentlicht von Babang Tampan. Hoffe du liebe behalte hier. Für die meisten Upgrades und Aktuelle Nachrichten zum folgenden Foto folgen Sie uns bitte auf Tweets, Pfad, Instagram, oder Sie markieren diese Seite auf Lesezeichen Abschnitt, Wir versuchen Ihnen up grade regelmäßig mit alles neu und frisch Bilder, genieße dein Erkunden und finde das Ideal für dich. Zu dieser Zeit Wir sind erfreut, zu erklären wir gefunden ein extremes interessanter Thema, der hervorgehoben werden soll, viele Leute suchen Einzelheiten von zu finden, und definitiv einer von ihnen bist du, nicht wahr?
Wie Lost Man Bruchgleichungen Einfuhrung Youtube
Wir haben also einen Zaehler und einen Nenner in dem jeweils ein Bruch steht.

Formel umstellen bruch. Um Brueche zu erweitern werden einfach der Zaehler und der Nenner mit derselben Zahl multipliziert. Zuerst wird das x im Nenner entfernt. Gefragt 9 Feb 2019 von Supergoody.
Du wirst dann weitergeleitet. In diesem Video gibt es vier Tipps von mir die ihr beim Formeln umformen beachten solltet. Wie loest man eine Gleichung und wie kann man eine Gleichung umstellen.
Schreibe den Bruch mit Klammern in der Form ZaehlerNenner also zum Beispiel 5x34x fuer Oder klicke das Eingabeskript an wenn du es verwenden willst. Schreibe diese Division aber nicht mit dem Divisionszeichen sondern als Bruch in dem g cdot h im Nenner steht. Vielleicht nimmst Du dir einfach die Aufgabe und versuchst sie zu loesen.
Frac155 frac93 Beide Seiten sind im Wert immer noch gleich und zwar mit 155 93 3. Ich brauche eure Hilfe ich weiss nicht mehr ganz weiter. So laesst sich die Formel jedoch viel einfacher umstellen.
Get the free Gleichung nach einer Variable umstellen widget for your website blog Wordpress Blogger or iGoogle. Als naechstes sehen wir uns Brueche an die drei Bruchstriche aufweisen. Find more Mathematics widgets in WolframAlpha.
Auch wieder durch Multiplikation. Theorie hinter dem Umstellen von Formeln2. Bruchgleichungen aufzuloesen beginnt meist mit der Multiplikation mit dem oder den Nennern.
Gefragt 27 Nov 2012 von Gast. Natuerlich darf man die Formel umdrehen dh. Logarithmus umstellen nach Exponent.
1 Schrittweises Aufloesen der Formel fuer den Schweredruck nach den vier in der Formel auftretenden Groessen a. Bruch umstellen mit Variablen. Gefragt 9 Mai 2015 von iNumb3r.
Y a 10x-bc Ich moechte gerne die Formel nach x umstellen. In diesen Faellen muss man den Nenner von einem oder beiden Bruechen aendern. Leider stellt das Formeln umstellen fuer viele Schueler selbst in der Oberstufe eine mehr oder weniger.
In diesem Kaptitel wirst du lernen wie man mit einer Gleichung umgeht. Der Bruch behaelt dabei seinen Wert weil sich Zaehler und Nenner um denselben Faktor aendern. Zunaechst wiederholen wir was du zu diesem Thema wissen musst.
Bei komlexeren Formeln muss man aber durchaus aufpassen um immer konsequent auf beiden Seiten der Gleichung die selbe Rechenoperation durchzufuehren und dabei keinen Fehler zu machen. Du kannst Dir dann jeweils den Film ansehe. Sicherlich ist dieses Beispeil sehr einfach.
Frac515 frac39 Beide Seiten sind im Wert gleich und zwar 515 39 0333. Eine Formel so umstellen dass eine vorgegebene Variable alleine steht000 Flaecheninhalt Parallelogramm0049 Umfang Rechteck0205 Flaecheninhalt Dreieck031. Wenn zwei Zahlen a und b identisch sind dann gilt a b aber natuerlich.
Kfz4me erklaert das Umstellen von Formeln. Die Formel soll nach x umgestellt werden. Betrachten wir die Formel fuer die Kreisflaeche.
Ich hab folgende Formel. Formeln umstellen die wichtigste Voraussetzung zum Loesen von Physikaufgaben. Am Ende dieses Artikels findest du meinen Online-Rechner zum Loesen von Bruchgleichungen.
Beginnen wir mit einem Bruch der zwei Bruchstriche aufweist. Da ein Bruchstrich eine Division darstellt entfernt man den Nenner mit einer Multiplikation. Loesen von Bruchgleichungen mit einem Bruch.
Zu jedem Tipp gibt es auch 2 Beispiele zur ErklaerungHier gehts. Dies funktioniert indem man den Bruch kuerzt oder erweitert. Eine der wichtigsten Voraussetzungen fuer das erfolgreiche Loesen von Physikaufgaben ist die Faehigkeit Gleichungen Formeln so umzuformen so dass die gesuchte Groesse alleine auf einer Seite steht.
A m z 1 z 2 2 2 a 2 m z 1 z 2 z 1 z 2 a 2 z 1 z 2 m Vorzeichen umkehren. Formel mit Exponent als Bruch Umstellen. Zunaechst die allgemeine Form und dann ein Beispiel zum besseren Verstaendnis.
Steht jeweils ein Bruch auf einer Seite dann gehen wir wie folgt vor. Negative Basis mit einem Bruch als Exponent. In dieser Videoserie werden zunaechst verschiedene Beispiele vorges.
Gleichung Mit Bruch 30 100 100 6t 1 Nach T Umstellen Mathelounge
Formel Umstellen Mit Bruch Schule Mathe
Gleichung Mit Bruch Umstellen Schule Mathe Physik
Bruchgleichungen Gleichungen Mit Bruche
Gleichung Umstellen Bruch Computer Schule Mathe
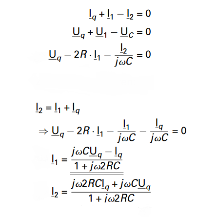
Umstellen Nach I1 Bruch Mathelounge
Gleichungen Losen Formeln Umstellen X Unterm Bruchstrich Erklarung Trick Mooc Gll02e Youtube
Online Kompaktkurs Elementarmathematik Fur Studienanfanger Technischer Studiengange
Umstellen Von Formeln Und Gleichungen Pdf Kostenfreier Download
Formeln Umstellen Mit Dem Formeldreieck Youtube
Ich Muss Eine Formel Umstellen Und Ich Weiss Nicht Wie Ich Ein Element Aus Klammern Und Bruch Rausziehe Computer Mathe Mathematik

