So kann man die erste partielle Ableitung nach x beispielsweise schreiben als. F yyxy 4 f y y x y 4.
Partielle Ableitung Rechner - Spaß für meinen eigenen Blog, bei dieser Gelegenheit werde ich Ihnen im Zusammenhang mit erklären Partielle Ableitung Rechner. Also, wenn Sie großartige Aufnahmen machen möchten Partielle Ableitung Rechner, Klicken Sie einfach auf das Speichersymbol, um das Foto auf Ihrem Computer zu speichern. Sie können heruntergeladen werden. Wenn Sie möchten und möchten, klicken Sie im Beitrag auf "Logo speichern". Der Download erfolgt direkt auf Ihren Heimcomputer.
Partielle Ableitung Rechner ist eine wichtige Information, die von Fotos und HD-Bildern begleitet wird, die von allen Websites der Welt stammen. Laden Sie dieses Bild kostenlos in High Definition-Auflösung mit der unten stehenden Option "Download-Schaltfläche" herunter. Wenn Sie nicht die genaue Auflösung finden, nach der Sie suchen, wählen Sie Original oder eine höhere Auflösung. Sie können diese Seite auch einfach speichern, sodass Sie sie jederzeit anzeigen können.
Hier sind Sie auf unserer Website, Artikel oben, veröffentlicht von Babang Tampan. Hoffe du liebe bleibe hier. Für einige Upgrades und Aktuelle Nachrichten zum folgenden Foto folgen Sie uns bitte auf Twitter, Pfad, Instagram, oder Sie markieren diese Seite auf Lesezeichen Abschnitt, Wir versuchen Ihnen up grade regelmäßig mit alles neu und frisch Grafiken, genieße dein Surfen und finde das Richtige für dich. Heute Wir sind aufgeregt, zu erklären dass wir entdeckt haben ein extremes interessanter Thema, der besprochen, viele Leute suchen Informationen über zu finden, und natürlich einer von diesen bist du, nicht wahr?
Ebenen Umformen Spickzettel Mathe Abitur Mathe
Ableitungen von Funktionen mit mehreren Variablen partielle Ableitungen implizite Ableitungen sowie die Berechnung von Nullstellen sind kein Problem.

Partielle ableitung rechner. You look like the type of person who needs a calculator to do math in their head. Der Graph dieser Funktion laesst sich naemlich als Huegelflaeche im Dreidimensionalen darstellen. Die Funktion kann jedoch mehr als zwei Variablen enthalten.
Ordnung sowie komplexe Funktionen. Der Ableitungsrechner berechnet Ableitung der Funktion nach x oder die partielle Ableitung nach x y oder z sowie den 3d-Gradienten der Funktion mit den Komponenten der partiellen Ableitungen nach x y und z. Unter der partiellen Ableitung versteht man dass eine Funktion nach einer bestimmten Variablen abgeleitet wird.
Partielle Ableitungen restart. Geben Sie die Funktion ein. Fracpartial fxypartial xf_1xyf_xxy Und analog die erste partielle Ableitung nach y als.
Man kann sich das auch folgendermassen vorstellen. Find more Mathematics widgets in WolframAlpha. Es gibt die Moeglichkeit Diagramme der Funktion und ihrer Ableitungen zu zeichnen.
Get the free Partielle Ableitung widget for your website blog Wordpress Blogger or iGoogle. Partielle Integration leicht erklaert mit vielen Beispielen und Aufgaben Integralrechner Online Rechner mit Rechenweg- Simplexy. In diesem Fall werden die verschiedenen Loesungswege berechnet und ebenfalls angezeigt.
Ableitungen bis zur 10. Wird der Funktionsgraph von mit einer Ebene geschnitten die den Punkt enthaelt und parallel zur -Ebene liegt so ergibt sich eine. Der Ableitungsrechner von Simplexy kann beliebige Funktionen fuer dich Ableiten und noch viel mehr.
Dies ist ein Partielle Ableitung Rechner. Eine partielle Ableitung ist eine Ableitung einer Funktion in Bezug auf eine bestimmte Variable. Boyds Backyard TheBoydP January 26 2019 You look like the type of person who needs a calculator to do math in their head.
Die daraus resultierende Ableitung Berechnung wird nach der Vereinfachung zurueckgegeben und von den Details der Berechnung begleitet. Definition eines Funktionsterms in Abhaengigkeit von x und y. Die partiellen Ableitungen sind nichts anderes als die gewoehnlichen.
Die Funktion ist eine multivariate Funktion die normalerweise zwei Variablen enthaelt x und y. Sollte der Rechner nicht in der Lage sein den Rechenweg mit berechnen wird die Software trotzdem versuchen die Ableitung zu bestimmen. Du kannst auch deine Loesungen ueberpruefen.
Unterscheiden in Bezug auf. Nur noch in die Formel. Ob ein Integrand als Produkt aus zwei Funktionen geschrieben werden kann wobei sich eine der zwei funktionen als eine Ableitung fx auffassen laesst und die andere als gx.
Das waeren die beiden moeglichen partiellen Ableitungen. Teste den Rechner aus. Partielle Ableitung Rechner berechnet Ableitungen einer Funktion in Bezug auf eine gegebene Variable unter Verwendung einer analytischen Differenzierung und zeigt eine schrittweise Loesung an.
Es kann sein dass es mehrere Moeglichkeiten gibt ein Ableitung zu loesen. Get the free Ableitungsrechner widget for your website blog Wordpress Blogger or iGoogle. Der Ableitungsrechner kann die erste zweite fuenfte Ableitung berechnen.
F yxxy 1 f y x x y 1. Boyds Backyard TheBoydP January 26 2019 I felt so accomplished by bringing my Continue reading. Die Bedeutung der partiellen Ableitungen einer Funktion die von den zwei Variablen x und y abhaengt laesst sich noch geometrisch interpretieren.
Wenn man die partielle Ableitung 1. Find more Mathematics widgets in WolframAlpha. Nehmen wir also die partielle Ableitung einer Funktion an nehmen wir sie in Bezug auf eine bestimmte Variable.
Um zum Beispiel die Funktion f xx2 abzuleiten geh auf den knopf frac df dx und gib x2 ein. Die partielle Ableitung nach x an der Stelle gibt dann die Steigung des Graphen an dieser Stelle an wenn man sich von dort aus in positive x-Richtung bewegt. Interaktive Funktionsgraphen erleichtern das Verstaendnis.
Dann kannst du auf loesen druecken und du erhaelts die Ableitung deiner Funktion. Ordnung f y f y noch einmal nach y y oder nach x x ableitet erhaelt man die partiellen Ableitungen 2. F xyxy 1 f x y x y 1.
Der Ableitungsrechner berechnet die Ableitung einer Funktion in Bezug auf gegebene Variable mittels analytischer Differenzierung. F xxxy 2 f x x x y 2. In einer Funktion ein x und ein y dann kann man entweder nach x ableiten oder nach y.
Der Ableitungsrechner ermoeglicht es Ableitungsfunktionen online aus den Eigenschaften der Ableitung einerseits und Ableitungsfunktionen der ueblichen Funktionen andererseits zu berechnen.
Partielle Ableitung Fur Studenten Studimup De
Lesezeichen Zur Polynomdivision Mit Erklarung An Einem Ausfuhrlichen Beispiel Einfach Mathe Lernen Mit Studimup Dank Nachhilfe Mathe Spickzettel Mathe Formeln
Berechnen Der Lokalen Extrema Durch Partielle Ableitung Einer E Funktion Mathelounge
Partielle Ableitung 3 Ordnung Mit Tricks Mathe By Daniel Jung Youtube
Einfuhrung Funktionen Ubungen Und Aufgaben Mit Losungen Tagliches Mathematik Matheaufgaben Mathematik
Einfuhrung Funktionen Ubungen Und Aufgaben Mit Losungen Tagliches Mathematik Matheaufgaben Mathematik
Lesezeichen Zur Erklarung Der Definitionsmenge Einfaches Lernen Mit Beispielen Ubungsaufgaben Und Spickzetteln Lesezeic Mathematik Lernen Spickzettel Lesen
Sind Meine Rechnungen Korrekt Nr 1 Partielle Ableitung Mathelounge
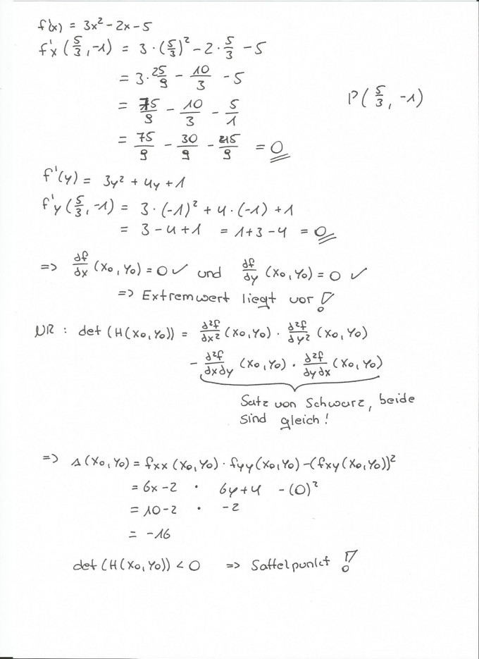
Partielle Ableitung Extremwerte Bestimmen Und Klassifizieren Mathelounge
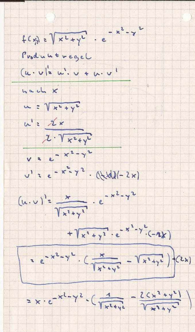
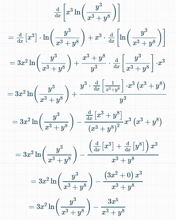
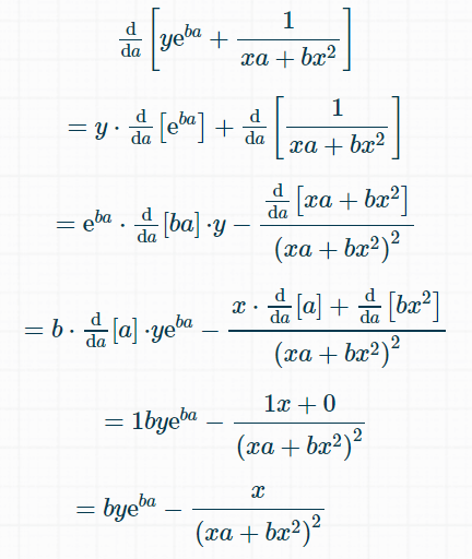
Berechnen Sie Die Partiellen Ableitungen Erster Und Zweiter Ordnung Der Funktion Mathelounge
Partielles Ableiten 1 Ordnung Mathelounge
Partielle Ableitung Nach X Mathelounge
